CÔN BỐ - 昆布
Còn gọi là hải đới, nga chưởng thái.

Côn bố - Cyperus malaccensis
Côn bố là toàn cây khô của một loại tảo dẹt (có tên khoa học là Laminaria japonica). Areschong thuộc họ Côn bố (Laminariaceae), người ta cũng còn dùng toàn cây khô của cây nga chưởng thái. Ecklonia kurome Oskam thuộc họ Tảo có cánh (Alariaceae), hoặc của một loại tảo Undaria pinnatifida (Harv.). Suring thuộc cùng họ Tảo có cánh (Alariaceae).
"Côn" có nghĩa là cùng, là giống; "bố" là vải, vì vị thuốc này dài như tấm vải cho nên đặt tên như vậy.
A. MÔ TẢ CÂY
Côn bố Laminaria japonica là một loại tảo dẹt, màu nâu, có những móc để bám vào tảng đá ngoài biển, một bộ phận hình trụ nom như thân và một bộ phận dẹt và dài nom như lá. Bộ phận giống như lá của côn bố dài khoảng 60cm, rộng 5-6cm, giữa dày, mép mỏng thành hình lượn sóng. Phần lá dẹt của nga chưởng thái dài rộng khoảng 15-30cm, dày 1,5-2mm, hai cánh xẻ như lông chim, thùy hình lưỡi dài, mép có răng cưa nhỏ.
B. PHÂN BỐ, THU HÁI VÀ CHẾ BIẾN
Cho đến nay vị côn bố chưa thấy được khai thác ở nước ta. Ta vẫn thường nhập vị này của Trung Quốc.
Theo những tài liệu của Trung Quốc thì côn bố là loại tảo mọc hoang dại chủ yếu ở những vùng biển ở Liêu Ninh, Sơn Đông, Phúc Kiến.
Theo những tài liệu cũ ở ven biển nước ta có thể có loài côn bố Laminaria flexicaulis nhưng chưa thấy nói được khai thác.
Vào hai mùa Hạ và Thu người ta tổ chức vớt côn bố ở biển, đưa lên bờ rửa sạch bớt nước mặn và tạp chất rồi phơi khô là được.
Vị thuốc cuộn khúc lại thành cuộn hoặc bó lại thành từng bó tùy theo loại tảo mà vị thuốc có màu nâu xanh hay đen nâu, mặt ngoài thường phủ một ít tinh thể muối, mùi tanh, vị mặn.
Khi dùng người ta nhặt hết tạp chất, dùng nước rửa sạch, vớt ra để phơi hơi khô, đem cắt nhỏ thành sợi, rồi phơi khô hẳn để dùng.
Trước đây ở châu Âu, người ta lấy bộ phận nom như thân của côn bố đem tiện thành từng thỏi hình trụ như bút chì, rồi phơi khô tiệt trùng, đóng trong những ống thủy tinh gắn kín dùng trong khoa sản để nong tử cung. Khi gặp nước, hút nước tăng thể tích tới 7-8 lần. Tại các hiệu thuốc tây trước đây có bán loại thuốc này với tên lamine (laminaire) dùng để nong rộng tử cung.
C. THÀNH PHẦN HÓA HỌC
Trong côn bố có tới 60% hydrat cacbon, trong hydrat cacbon thành phần chủ yếu là angin, lactozan và pentozan. Ngoài ra còn chứa vitamin, protit và một ít chất béo. Tro toàn phần 14% trong đó có iot, kali, sắt, canxi.

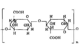
Algin (do Stanfort tìm ra từ năm 1880) gồm chủ yếu là muối natri của axit anginic (C6H8O6)n. Axit anginic lại là một axit polymannuronic gồm nhiều đơn vị axit D-manuronic dưới dạng pyranoza liên kết với nhau ở 1-4.
D. CÔNG DỤNG VÀ LIỀU DÙNG
Côn bố được dùng trong Y học cổ truyền từ lâu đời.
Trong những tài liệu cổ tính vị của côn bố như sau: Vị mặn, tính hàn hoạt, có tác dụng làm mềm các chỗ cứng rắn, tích tụ (nhuyễn kiên), lợi thủy, dùng chữa bệnh tràng nhạc, bướu cổ, thủy thũng, tích tụ (hòn cục), đau sưng dịch hoàn.
Hiện nay côn bố cũng chỉ thấy được dùng trong Y học cổ truyền chữa những bệnh mà Y học khoa học xác định do thiếu iốt và những bệnh đã kể trên. Ngày dùng 4-12g dưới dạng thuốc sắc hay thuốc bột.
Ngoài côn bố, như trên đã nói Tây y còn dùng trụ thân giả của côn bố làm vật nong rộng tử cung. Nhưng hiện nay cũng ít dùng.
Tây y còn dùng bột côn bố như một vị thuốc chứa iốt hữu cơ và như vị thạch làm thuốc nhuận tràng do tác động cơ học.
Trong công nghiệp côn bố dùng làm nguyên liệu chế angin và anginat và đôi khi chế iốt.
Chú thích: Lamine dùng trong Tây y lấy từ cây côn bố Laminaria cloustonii Le Jolis, Laminaria digitata Lamouroux (L. flexicaulis Le Jolis) và Laminaria saccharina Lamx, cùng thuộc họ Côn bố (Laminariaceae).
(Nguồn link)